Смесительный узел СУ-R-4 для водяных охладителей
Смесительные узлы СУ-R-4 предназначены для подключения водяных охладителей к магистрали хладоносителя. Позволяют регулировать мощность охлаждения теплообменника, поддерживая заданную температуру воздуха, выходящего из него.
Хладоноситель, протекающий через узел, не должен быть вязким, содержать твердых примесей, минеральных масел и агрессивных химических веществ, способствующих коррозии или химическому разложению меди, латуни, нержавеющей стали, цинка, пластмасс, резины, чугуна.
Максимально допустимые эксплуатационные параметры хладоносителя:
- минимальная допустимая температура жидкости -5°С;
- максимально допустимое давление: 1 МПа.
Установка смесительных узлов допускается в отапливаемых помещениях с температурой от + 5 °С до +40 °С и относительной влажностью не более 40 % при температуре +40 °С.
По отдельному заказу возможно изготовление комплекта гибких соединений (подводок) для облегчения монтажа смесительных узлов.
Схема узла СУ-R-4

Принцип работы основан на плавном закрытии или открытии трехходового регулирующего крана при сохранении постоянного расхода теплоносителя со стороны подачи хладоносителя, при этом изменяется расход хладоносителя через охладитель, что позволяет поддерживать заданную температуру воздуха после охладителя в системе вентиляции.
Габаритные размеры смесительных узлов

|
Наименование |
L, мм |
L1, мм |
А, мм |
d, дюймы |
Масса, кг |
|
СУ-R-4-1.0/24 |
210 |
260 |
182 |
G 3/4 |
2,4 |
|
СУ-R-4-1.6/24 |
|||||
|
СУ-R-4-2.5/24 |
|||||
|
СУ-R-4-4.0/24 |
|||||
|
СУ-R-4-1.0/24 TM |
270 |
320 |
2,7 |
||
|
СУ-R-4-1.6/24 TM |
|||||
|
СУ-R-4-2.5/24 TM |
|||||
|
СУ-R-4-4.0/24 TM |
|||||
|
СУ-R-4-6.3/24 |
223 |
303 |
202 |
G 1 |
3,4 |
|
СУ-R-4-6.3/24 TM |
283 |
363 |
3,8 |
||
|
СУ-R-4-10/24 |
270 |
370 |
250 |
G 1 1/4 |
5,5 |
|
СУ-R-4-16/24 |
|||||
|
СУ-R-4-10/24 |
340 |
440 |
6 |
||
|
СУ-R-4-16/24 |
|||||
|
СУ-R-4-25/24 |
340 |
420 |
265 |
G 1 1/2 |
8,2 |
|
СУ-R-4-25/24 TM |
440 |
520 |
8,9 |
||
|
СУ-R-4-40/24 |
330 |
467 |
284 |
G 2 |
9,7 |
|
СУ-R-4-63/24 |
10,1 |
||||
|
СУ-R-4-40/24 TM |
440 |
577 |
284 |
G 2 |
10,7 |
|
СУ-R-4-63/24 TM |
11,1 |
Технические характеристики смесительных узлов
|
Наименование |
Пропускная способность крана, Kvs, м3/ч |
Параметры управляющего привода |
||
|
Напряжение питания, В |
Потребляемая мощность, Вт |
Управляющий сигнал |
||
|
СУ-R-4-1.0/24 СУ-R-4-1.0/24 TM |
1 |
24 AC/DC |
2 |
0-10В постоянного тока |
|
СУ-R-4-1.6/24 СУ-R-4-1.6/24 TM |
1,6 |
|||
|
СУ-R-4-2.5/24 СУ-R-4-2.5/24 TM |
2,5 |
|||
|
СУ-R-4-4.0/24 СУ-R-4-4.0/24 TM |
4 |
|||
|
СУ-R-4-6.3/24 СУ-R-4-6.3/24 TM |
6,3 |
|||
|
СУ-R-4-10/24 СУ-R-4-10/24 TM |
10 |
|||
|
СУ-R-4-16/24 СУ-R-4-16/24 TM |
16 |
5 |
||
|
СУ-R-4-25/24 СУ-R-4-25/24 TM |
25 |
|||
|
СУ-R-4-40/24 СУ-R-4-40/24 TM |
40 |
10 |
||
|
СУ-R-4-63/24 СУ-R-4-63/24 TM |
63 |
|||
Электрическая схема подключения


Для подбора смесительного узла водяного охладителя нужно знать необходимый расход теплоносителя G (м3/ч) и суммарные потери давления в охладителе по воде в ΔPc (кПа), на основе этих данных по формуле (1) вычисляется необходимый Kv трёхходового крана.

Далее выбирается необходимый смесительный узел с максимально приближенным значением KVs к вычисленному значению Кv и допустимым расходом G.
Пример подбора:
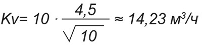
Допустим, после расчетов требуемый расход воды для охладителя КВО 90-50/4 равен G = 4,5 м3/ч, при этом расходе потери давления по воде для данного охладителя составляют ΔPc=10кПа. Вычислим требуемый Kv трехходового крана по формуле (1):

Значение Kvs=14,23 м3/ч в стандартном ряду отсутствует, поэтому для данного расхода G = 4,5 м3/ч и вычисленного Kv подходят два ближайших смесительных узла СУ-R-4-10/24 и СУ-R-4-16/24.
Далее руководствуемся следующими правилами:
Если больший и меньший Kvs смесительного узла находится в одном типоразмере подключения, то мы выбираем больший, но проверяем чтобы его авторитет А был больше или равен 0,42 (≥0,42) в противном случае выбираем смесительный узел с меньшим Kvs.
Если большой типоразмер Kvs находится в другом типоразмере подключения, то выбираем меньший Kvs, и проверяем, чтобы авторитет А был не более 0,7(≤0,7), в противном случае выбираем смесительный узел с большим Kvs.
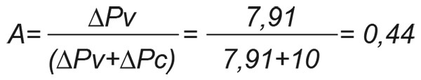
В нашем случае смесительные узлы СУ-R-4-10/24 и СУ-R-4-16/24 находятся в одном типоразмере подключения, поэтому выбираем СУ-R-4-16/24 и делаем проверку авторитета А.
Принимая Kvs=16 мы получим реальные потери давления на трехходовом кране.

Получив реальные потери на клапане ΔPv проверяем авторитет клапана A по формуле:

Поскольку полученный авторитет клапана А=0,44(≥0,42), то подбор смесительного узла окончен СУ-R-4-16/24.
Не представленные в наличии модели доступны к поставке под заказ
Оповестить о поступлении
Всю необходимую информацию также можно получить по телефону «горячей линии»
+ 7 800 200 93 96или по телефону
+7 800 505 08 67 получить консультацию